Skip to main content
  • University of California, Los Angeles
Clinical & Translational Science Institute
  • About Us
    • About Us
      • Hub partners
      • Leadership
      • Community Partners
      • Committees, Boards & Groups
      • Administration & Operations
      • The Translational Research Spectrum
    • Request a Service
      • Programs
      • Clinical Research Centers
      • Consultations
      • CTSI ResearchGO
      • Grant Support
  • Researcher Resources
    • Clinical Trials
      • Design Study
      • Set Up Study
      • Conduct Study
      • Close Out Study
    • UCLA Clinical and Translational Research Center
      • Plan your visit
      • Life Cycle of a Clinical Trial
      • Services and Rates
      • Study team resources
      • Phase 1 Trials
      • Support to Stem Cell Research
    • Research with Our Partner Institutions
      • Apply at any site
      • Multi-site Research
      • Cedars-Sinai CTRC
      • Lundquist/Harbor-UCLA CTRC
      • CDU Research Centers
    • Data and Informatics Tools
      • Cohort identification
      • Medical record datasets
      • Data Analytics and Biostatistical Support
      • REDCap
      • Data Releases
      • Genomic Data
      • More Data Resources
    • Related Resources
      • Consultations
      • Drug Discovery Consults and Commercialization
      • Education and training
      • Participate in a Clinical Trial
      • Grant Support
      • Research cores
  • Education & Training
    • High School and Undergraduate Programs
      • Long Beach Polytechnic High School Program
      • Research Associates Program (CTSI-RAP)
      • Undergraduate Research
      • Federal Work Study
    • Pre-doctoral Programs and Post-doctoral Programs (TL1 Program)
      • About
      • Translational Science Seminars
      • Predoctoral Program
      • Postdoctoral Program
      • Alumni
      • Current Fellows
    • Junior Faculty Programs
      • KL2 Translational Science Scholars Program
      • K Bridge
      • K Scholars Society
      • New Investigator Programs
      • Additional Resources
    • Masters Programs and Certificate Programs
      • MS in Clinical Research
      • MSCR MD/MS in Clinical Research
      • Certificate Program
      • UCLA BruinLearn-Canvas
      • MSHS at Cedars-Sinai
    • Other Training Programs and Resources
      • Clinical Research Trainings
      • Educational Videos, Tools, and Workshops
      • Fellowships
      • Sample Grants Library
      • UCLA Biodesign
  • Community Engagement
    • Initiatives & Activities
      • Consultations
      • Dissemination, Implementation and Improvement (DII)
      • Funding Opportunities
      • "How To" Series
      • News Series on Community Health
      • Team Science Training
    • Community-Based Projects
      • AIM-AHEAD
      • National Center for Engagement in Diabetes Research (CEDER)
      • NIH CEAL
    • Los Angeles County (LAC) Projects
      • Care Connections Program
      • LA DHS Safety-Net Health Innovation Awards
      • Whole Person Care
    • Team and Partners
      • CERP Team
      • Community Partners
      • Community Spotlight
      • Participate in a Clinical Trial
  • Funding & Grant Support
    • Grants Submission Unit
      • Contact GSU
      • NIH Requirements
      • NSF Requirements
      • Boilerplates for resources
      • Collaborative Pathways for Innovation (CPI) Program
    • T32 Training Grant Support Services
      • Contact for Consult
      • Initial Considerations
      • Data Table Guidance
      • Research Training Program Plan guidance
      • Institutional Support Letter guidance
      • Workshops & Office Hours
    • Funding Opportunities
      • Upcoming Deadlines & Opportunities
      • CTSI RFAs
      • Past Awardees
    • Related Resources
      • K & R Grant Writing Resources
      • Request a Letter of Support
      • Sample Grants Library
  • News
    • News
      • Articles
      • Newsletters
      • Submit a Story Idea
      • Jobs at CTSI
    • Events
      • CTSI Distinguished Speaker Series
      • Biomedical AI Symposium
    • Opportunities & Deadlines
      • Funding Opportunities
      • Opportunities from Our Partners
      • Training Grant Opportunities
  • University of California, Los Angeles

Search

Try looking up an academic program, research topic, or information about life at UCLA.

Quick Links

  • Clinical research centers
  • Find CTSI collaborators
  • Funding opportunities
  • Grant library
  • Popular links
  • Study design and support
  • Request a CTSI service
  • Biostat consults
  • Boilerplates for grants
  • Request a letter of support

Biostatistics and Epidemiology

CTSI Logo
Biostatistics and Epidemiology

Breath test results may be linked to gut microbe and obesity

CTSI-support study finds breath test results may be linked to gut microbe and obesity

April 11, 2014
1 min read
CTSI Logo
Biostatistics and Epidemiology

Community barbershops connect black men to treatment for high blood pressure

April 05, 2018
1 min read
CTSI Biostatisticians collaborate with UCLA dentistry to receive $5 million NIH award
Biostatistics and Epidemiology

CTSI Biostatisticians collaborate with UCLA dentistry to receive $5 million NIH award

CTSI Biostatisticians collaborate with UCLA dentistry to receive $5 million NIH award

August 27, 2013
1 min read
Placenta
Biostatistics and Epidemiology

Early pregnancy MRI scans may help predict health risks for a mother and child

CTSI-supported study finds early pregnancy MRI scans could predict risks for baby's growth and health

August 21, 2023
1 min read
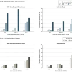
coronary-artery-calcium-and-polygenic-risk-scores-1263067.png
Biostatistics and Epidemiology

Lundquist Institute investigators co-author paper in JAMA on coronary heart disease (CHD) risk prediction

Lundquist Institute Investigators Co-author Paper in JAMA on Coronary Heart Disease (CHD) Risk Prediction

June 08, 2023
2 min read
CTSI Logo
Biostatistics and Epidemiology, Clinical and Translational Research Centers

Similarities of small cell cancers to blood cancers could lead to better treatments

Similarities of small cell cancers to blood cancers could lead to better treatments

July 08, 2019
1 min read
Dr. Ellingson
Biostatistics and Epidemiology

UCLA researchers awarded grant from National Cancer Institute

A UCLA-led team of researchers will test a novel, targeted therapy drug with new imaging technology

June 06, 2023
1 min read
Home

UCLA CTSI
10833 Le Conte Ave
Los Angeles, CA 90095

  • Facebook
  • X-Twitter
  • Instagram
  • Highlighted Services

    • Request a CTSI service
    • Request a letter of support
    • Search the grant library
    • Clinical research centers
  • Connect to Resources

    • Find CTSI collaborators
    • Find a clinical trial
    • Cite the CTSI grant
    • News and events
    • Sign up for our newsletter
    • Jobs
  • Partner Institutions

    • Cedars-Sinai
    • Charles R. Drew University
    • The Lundquist Institute at Harbor-UCLA
  • Facebook
  • X-Twitter
  • Instagram
  • LinkedIn
  • YouTube
  • Emergency
  • Accessibility
  • UCLA Privacy Policy
  • UCLA Health Privacy Notice
  • Login
© 2026 UCLA Health