Lundquist Institute investigators co-author paper in JAMA on coronary heart disease (CHD) risk prediction
Drs. Jerome Rotter & Matt Budoff Study Shows that in Middle-aged to Older Adults the Coronary Artery Calcium Score Improved CHD Risk Discrimination

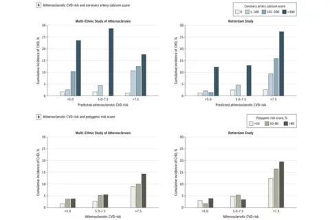
Jerome Rotter, MD, Matthew Budoff, MD, and Xiuqing Guo, PhD, from The Lundquist Institute (TLI), a UCLA CTSI partner institution, are co-authors of a new study in JAMA that assessed whether a coronary artery calcium score was associated with better discrimination than the polygenic risk score for the risk prediction of coronary heart disease (CHD) in middle-aged to older adults from the United States and Netherlands. The lead author of the study is Sadiya S. Khan, MD, based at Northwestern University.
Both tools — polygenic risk and coronary artery calcium — are being used in coronary health disease risk assessment but they have never been directly compared head-to-head. The main result of the study showed a statistically significant and clinically meaningful improvement in risk discrimination for middle-aged adults when the coronary artery calcium score was added to a traditional risk factor-oriented model.
“What we found is an excellent way to identify who is at risk for coronary heart disease in middle-age,” said Dr. Rotter, Lundquist Investigator and Director of the TLI Institute for Translational Genomics and Population Sciences. “The leading cause of death in the U.S. is heart disease and if we can assess and improve risk by using CT scans, we should move in that direction given what this study suggests. Genetics is an important risk assessment tool but may have a larger clinical role earlier in life.”
The study indicates that imaging with computer tomography (CT) to detect coronary artery calcium can be a reliable predictor of CHD.
UCLA CTSI provided support for the study through the Biostatistics, Epidemiology and Research Design (BERD) program. Co-author and BERD investigator, Xiuqing Guo, PhD, led the biostatistical support. “Dr. Guo, director of statistical genetics at the Institute for Translational Genomics and Population Sciences at the Lundquist Institute and department of pediatrics at Harbor-UCLA, is one of the nation's most active and productive genetic biostatisticians,” said Dr. Rotter. “The CTSI is very fortunate to have her participation.”
Rotter also shared what is in store for the research team. “We are actively involved in the development of tools, ranging from polygenic risk scores to multi-omics assessments, to understand and predict cardiometabolic and neurologic disease, especially in U.S. non-majority populations.”
This story was adapted from the Lundquist Institute press release shared by Dicardiology.
For more information on available BERD services and resources to support your project or research, visit the BERD webpage here.